差压流量计测流量及温压补偿知识分享
差压流量计测流量及温压补偿知识分享
差压流量计三完美网页版登录入口组的开停顺序
开启:开正,关平,开负。停用:关负,开平,关正
差压式流量计三完美网页版登录入口组的开启:先打开正压完美网页版登录入口,再关闭平衡完美网页版登录入口,打开负压完美网页版登录入口,
关闭:先关闭负压完美网页版登录入口,再打开平衡完美网页版登录入口,关闭正压
首先开启正压完美网页版登录入口这一项的前提是在确认平衡完美网页版登录入口已经打开的情况下,这样该测量点的偏高压部分就已经被同时导入到变送器的正、负压室中,然后关闭平衡完美网页版登录入口再开启负压完美网页版登录入口,负压室中的压力下降至负压侧压力,从而保证了开启正、负压侧完美网页版登录入口门时始终不会对敏感原件造成单向的压力冲击。

再有差压式流量计测量液体或导压管有冷凝液(隔离液)的,启用和关闭时,三完美网页版登录入口组是严禁同时处于开启状态的,不然会因为正负压室的差压将导压管的冷凝液(隔离液)冲跑,造成测量误差。如果是测量的气体,可以直接打开或关闭平衡完美网页版登录入口。
如果差压变送器的三完美网页版登录入口组都同时处于开启状态,此时正压侧取压点与负压侧取压点因三完美网页版登录入口组的打开而连通,相当于一个U形管,正压侧的压力要高于负压侧,负压侧的导压管中的冷凝液就会被冲跑,冲跑的多少,就是正压侧与负压侧之间的差压。
下举两个计算例子。
(1)差压式流量计的计算方法
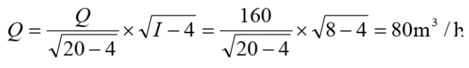
有差压式流量计,其差压变送器输出为 4-20mA,对应的量程为 0-160m3/h,当输出电流为 8mA 时,流量是多少?
差压式流量计的流量与差压的关系是:

式中 Q 为流量;K 为常数;△P 为差压。
差压已由变送器转换为电流 I,所以以本台流量计的流量与电流的关系如下:

该流量计,当输出电流为 8mA 时,流量是 80m3/h。

(2)线性输出流量计的计算方法
有台涡街流量计,其输出为 4-20mA,对应的量程为 0-20000kg/h,当输出电流为 16 mA时,流量是多少?
该流量计由于流量与电流成线性关系,所以流量与电流的关系如下:

该流量计,当输出电流为 16mA 时,流量是 15000kg/h 。